Advertisements
Advertisements
प्रश्न
Find the sum to n terms of the A.P., whose kth term is 5k + 1.
Advertisements
उत्तर
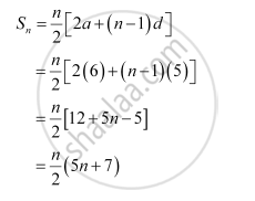
It is given that the kth term of the A.P. is 5k + 1.
kth term = ak = a + (k – 1)d
∴ a + (k – 1)d = 5k + 1
a + kd – d = 5k + 1
Comparing the coefficient of k, we obtain d = 5
a – d = 1
⇒ a – 5 = 1
⇒ a = 6

APPEARS IN
संबंधित प्रश्न
How many terms of the A.P. -6 , `-11/2` , -5... are needed to give the sum –25?
In an A.P., if pth term is 1/q and qth term is 1/p, prove that the sum of first pq terms is 1/2 (pq + 1) where `p != q`
If the sum of first p terms of an A.P. is equal to the sum of the first q terms, then find the sum of the first (p + q) terms.
Sum of the first p, q and r terms of an A.P. are a, b and c, respectively.
Prove that `a/p (q - r) + b/q (r- p) + c/r (p - q) = 0`
The difference between any two consecutive interior angles of a polygon is 5°. If the smallest angle is 120°, find the number of the sides of the polygon.
if `a(1/b + 1/c), b(1/c+1/a), c(1/a+1/b)` are in A.P., prove that a, b, c are in A.P.
A person writes a letter to four of his friends. He asks each one of them to copy the letter and mail to four different persons with instruction that they move the chain similarly. Assuming that the chain is not broken and that it costs 50 paise to mail one letter. Find the amount spent on the postage when 8th set of letter is mailed.
A manufacturer reckons that the value of a machine, which costs him Rs 15625, will depreciate each year by 20%. Find the estimated value at the end of 5 years.
Let < an > be a sequence. Write the first five term in the following:
a1 = a2 = 2, an = an − 1 − 1, n > 2
Find:
nth term of the A.P. 13, 8, 3, −2, ...
How many terms are there in the A.P.\[- 1, - \frac{5}{6}, -\frac{2}{3}, - \frac{1}{2}, . . . , \frac{10}{3}?\]
An A.P. consists of 60 terms. If the first and the last terms be 7 and 125 respectively, find 32nd term.
If < an > is an A.P. such that \[\frac{a_4}{a_7} = \frac{2}{3}, \text { find }\frac{a_6}{a_8}\].
The angles of a quadrilateral are in A.P. whose common difference is 10°. Find the angles.
Find the sum of the following serie:
101 + 99 + 97 + ... + 47
Find the sum of the following serie:
(a − b)2 + (a2 + b2) + (a + b)2 + ... + [(a + b)2 + 6ab]
Find the sum of first n odd natural numbers.
Find the sum of all integers between 84 and 719, which are multiples of 5.
Find the sum of all integers between 50 and 500 which are divisible by 7.
Find the sum of all integers between 100 and 550, which are divisible by 9.
Find the sum of all those integers between 100 and 800 each of which on division by 16 leaves the remainder 7.
The first term of an A.P. is 2 and the last term is 50. The sum of all these terms is 442. Find the common difference.
If the 5th and 12th terms of an A.P. are 30 and 65 respectively, what is the sum of first 20 terms?
If the sum of n terms of an A.P. is nP + \[\frac{1}{2}\] n (n − 1) Q, where P and Q are constants, find the common difference.
The sums of first n terms of two A.P.'s are in the ratio (7n + 2) : (n + 4). Find the ratio of their 5th terms.
If a, b, c is in A.P., prove that:
a2 + c2 + 4ac = 2 (ab + bc + ca)
A manufacturer of radio sets produced 600 units in the third year and 700 units in the seventh year. Assuming that the product increases uniformly by a fixed number every year, find (i) the production in the first year (ii) the total product in 7 years and (iii) the product in the 10th year.
A man starts repaying a loan as first instalment of Rs 100 = 00. If he increases the instalments by Rs 5 every month, what amount he will pay in the 30th instalment?
In a cricket team tournament 16 teams participated. A sum of ₹8000 is to be awarded among themselves as prize money. If the last place team is awarded ₹275 in prize money and the award increases by the same amount for successive finishing places, then how much amount will the first place team receive?
Write the value of n for which n th terms of the A.P.s 3, 10, 17, ... and 63, 65, 67, .... are equal.
Write the quadratic equation the arithmetic and geometric means of whose roots are Aand G respectively.
The pth term of an A.P. is a and qth term is b. Prove that the sum of its (p + q) terms is `(p + q)/2[a + b + (a - b)/(p - q)]`.
The product of three numbers in A.P. is 224, and the largest number is 7 times the smallest. Find the numbers
A man accepts a position with an initial salary of Rs 5200 per month. It is understood that he will receive an automatic increase of Rs 320 in the very next month and each month thereafter. Find his salary for the tenth month
A man accepts a position with an initial salary of Rs 5200 per month. It is understood that he will receive an automatic increase of Rs 320 in the very next month and each month thereafter. What is his total earnings during the first year?
If n AM's are inserted between 1 and 31 and ratio of 7th and (n – 1)th A.M. is 5:9, then n equals ______.
If b2, a2, c2 are in A.P., then `1/(a + b), 1/(b + c), 1/(c + a)` will be in ______
The fourth term of an A.P. is three times of the first term and the seventh term exceeds the twice of the third term by one, then the common difference of the progression is ______.
