Advertisements
Advertisements
प्रश्न
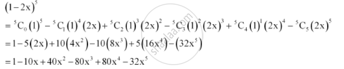
Expand the expression (1– 2x)5
Advertisements
उत्तर
By using Binomial Theorem, the expression (1– 2x)5 can be expanded as

APPEARS IN
संबंधित प्रश्न
Expand the expression: (1– 2x)5
Expand the expression: `(2/x - x/2)^5`
Expand the expression: `(x/3 + 1/x)^5`
Using Binomial Theorem, evaluate of the following:
(102)5
Using binomial theorem, evaluate the following:
(99)5
Using Binomial Theorem, indicate which number is larger (1.1)10000 or 1000.
Find (x + 1)6 + (x – 1)6. Hence or otherwise evaluate `(sqrt2 + 1)^6 + (sqrt2 -1)^6`
Show that 9n+1 – 8n – 9 is divisible by 64, whenever n is a positive integer.
Prove that `sum_(r-0)^n 3^r ""^nC_r = 4^n`
Find the value of `(a^2 + sqrt(a^2 - 1))^4 + (a^2 - sqrt(a^2 -1))^4`
Find the expansion of (3x2 – 2ax + 3a2)3 using binomial theorem.
If n is a positive integer, prove that \[3^{3n} - 26n - 1\] is divisible by 676.
Using binomial theorem determine which number is larger (1.2)4000 or 800?
Find the 4th term from the end in the expansion of `(x^3/2 - 2/x^2)^9`
Find the coefficient of x11 in the expansion of `(x^3 - 2/x^2)^12`
Determine whether the expansion of `(x^2 - 2/x)^18` will contain a term containing x10?
Find the term independent of x in the expansion of `(sqrt(x)/sqrt(3) + sqrt(3)/(2x^2))^10`.
Show that `2^(4n + 4) - 15n - 16`, where n ∈ N is divisible by 225.
Which of the following is larger? 9950 + 10050 or 10150
If the coefficients of x7 and x8 in `2 + x^n/3` are equal, then n is ______.
If (1 – x + x2)n = a0 + a1 x + a2 x2 + ... + a2n x2n , then a0 + a2 + a4 + ... + a2n equals ______.
The number of terms in the expansion of (a + b + c)n, where n ∈ N is ______.
Find the sixth term of the expansion `(y^(1/2) + x^(1/3))^"n"`, if the binomial coefficient of the third term from the end is 45.
If the coefficient of second, third and fourth terms in the expansion of (1 + x)2n are in A.P. Show that 2n2 – 9n + 7 = 0.
In the expansion of (x + a)n if the sum of odd terms is denoted by O and the sum of even term by E. Then prove that O2 – E2 = (x2 – a2)n
In the expansion of (x + a)n if the sum of odd terms is denoted by O and the sum of even term by E. Then prove that 4OE = (x + a)2n – (x – a)2n
Given the integers r > 1, n > 2, and coefficients of (3r)th and (r + 2)nd terms in the binomial expansion of (1 + x)2n are equal, then ______.
The two successive terms in the expansion of (1 + x)24 whose coefficients are in the ratio 1:4 are ______.
The coefficient of a–6b4 in the expansion of `(1/a - (2b)/3)^10` is ______.
If the coefficients of (2r + 4)th, (r – 2)th terms in the expansion of (1 + x)18 are equal, then r is ______.
Let `(5 + 2sqrt(6))^n` = p + f where n∈N and p∈N and 0 < f < 1 then the value of f2 – f + pf – p is ______.
The positive integer just greater than (1 + 0.0001)10000 is ______.
