Advertisements
Advertisements
Question
In the given cases, find the distance of each of the given points from the corresponding given plane.
Point Plane
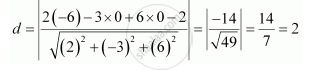
(– 6, 0, 0) 2x – 3y + 6z – 2 = 0
Advertisements
Solution
It is known that the distance between a point, p(x1, y1, z1), and a plane, Ax + By + Cz = D, is given by,

The given point is (−6, 0, 0) and the plane is 2x – 3y + 6z – 2 = 0

APPEARS IN
RELATED QUESTIONS
Find the distance between the point (7, 2, 4) and the plane determined by the points A(2, 5, −3), B(−2, −3, 5) and C(5, 3, −3).
Find the equation of the planes parallel to the plane x + 2y+ 2z + 8 =0 which are at the distance of 2 units from the point (1,1, 2)
In the given cases, find the distance of each of the given points from the corresponding given plane.
Point Plane
(0, 0, 0) 3x – 4y + 12 z = 3
In the given cases, find the distance of each of the given points from the corresponding given plane
Point Plane
(3, – 2, 1) 2x – y + 2z + 3 = 0
In the given cases, find the distance of each of the given points from the corresponding given plane.
Point Plane
(2, 3, – 5) x + 2y – 2z = 9
Find the distance of the point (−1, −5, −10) from the point of intersection of the line `vecr = 2hati -hatj + 2hatk + lambda(3hati + 4hatj + 2hatk)` and the plane `vecr.(hati -hatj + hatk) = 5`.
Distance between the two planes: 2x + 3y + 4z = 4 and 4x + 6y + 8z = 12 is
(A) 2 units
(B) 4 units
(C) 8 units
(D)`2/sqrt29 "units"`
Show that the points (1, –1, 3) and (3, 4, 3) are equidistant from the plane 5x + 2y – 7z + 8 = 0
Find the distance of the point \[2 \hat{i} - \hat{j} - 4 \hat{k}\] from the plane \[\vec{r} \cdot \left( 3 \hat{i} - 4 \hat{j} + 12 \hat{k} \right) - 9 = 0 .\]
Find the distance of the point (2, 3, −5) from the plane x + 2y − 2z − 9 = 0.
Find the equations of the planes parallel to the plane x + 2y − 2z + 8 = 0 that are at a distance of 2 units from the point (2, 1, 1).
Find the equations of the planes parallel to the plane x − 2y + 2z − 3 = 0 and which are at a unit distance from the point (1, 1, 1).
Find the distance of the point (2, 3, 5) from the xy - plane.
Find the distance of the point (3, 3, 3) from the plane \[\vec{r} \cdot \left( 5 \hat{i} + 2 \hat{j} - 7k \right) + 9 = 0\]
Find the distance of the point (1, −2, 3) from the plane x − y + z = 5 measured parallel to the line whose direction cosines are proportional to 2, 3, −6.
If the product of the distances of the point (1, 1, 1) from the origin and the plane x − y + z+ λ = 0 be 5, find the value of λ.
Find an equation for the set of all points that are equidistant from the planes 3x − 4y + 12z = 6 and 4x + 3z = 7.
Find the distance between the point (7, 2, 4) and the plane determined by the points A(2, 5, −3), B(−2, −3, 5) and C (5, 3, −3).
Find the distance of the point (1, -2, 4) from plane passing throuhg the point (1, 2, 2) and perpendicular of the planes x - y + 2z = 3 and 2x - 2y + z + 12 = 0
Find the distance between the parallel planes 2x − y + 3z − 4 = 0 and 6x − 3y + 9z + 13 = 0.
Find the equation of the plane which passes through the point (3, 4, −1) and is parallel to the plane 2x − 3y + 5z + 7 = 0. Also, find the distance between the two planes.
Find the distance between the planes \[\vec{r} \cdot \left( \hat{i} + 2 \hat{j} + 3 \hat{k} \right) + 7 = 0 \text{ and } \vec{r} \cdot \left( 2 \hat{i} + 4 \hat{j} + 6 \hat{k} \right) + 7 = 0 .\]
The image of the point (1, 3, 4) in the plane 2x − y + z + 3 = 0 is
Write the coordinates of the point which is the reflection of the point (α, β, γ) in the XZ-plane.
Solve the following:
Find the distance of the point `3hat"i" + 3hat"j" + hat"k"` from the plane `bar"r".(2hat"i" + 3hat"j" + 6hat"k")` = 21.
The perpendicular distance of the origin from the plane x − 3y + 4z = 6 is ______
The equation of the plane passing through (3, 1, 2) and making equal intercepts on the coordinate axes is _______.
The equations of planes parallel to the plane x + 2y + 2z + 8 = 0, which are at a distance of 2 units from the point (1, 1, 2) are ________.
Find the distance of the point whose position vector is `(2hat"i" + hat"j" - hat"k")` from the plane `vec"r" * (hat"i" - 2hat"j" + 4hat"k")` = 9
Find the distance of the point (– 2, 4, – 5) from the line `(x + 3)/3 = (y - 4)/5 = (z + 8)/6`
Find the coordinates of the point where the line through (3, – 4, – 5) and (2, –3, 1) crosses the plane passing through three points (2, 2, 1), (3, 0, 1) and (4, –1, 0)
The distance of a point P(a, b, c) from x-axis is ______.
Distance of the point (α, β, γ) from y-axis is ____________.
The distance of the plane `vec"r" *(2/7hat"i" + 3/4hat"j" - 6/7hat"k")` = 1 from the origin is ______.
Find the equation of the plane passing through the point (1, 1, 1) and is perpendicular to the line `("x" - 1)/3 = ("y" - 2)/0 = ("z" - 3)/4`. Also, find the distance of this plane from the origin.
Which one of the following statements is correct for a moving body?
S and S are the focii of the ellipse `x^2/a^2 + y^2/b^2 - 1` whose one of the ends of the minor axis is the point B If ∠SBS' = 90°, then the eccentricity of the ellipse is
A stone is dropped from the top of a cliff 40 m high and at the same instant another stone is shot vertically up from the foot of the cliff with a velocity 20 m per sec. Both stones meet each other after
A metro train starts from rest and in 5 s achieves 108 km/h. After that it moves with constant velocity and comes to rest after travelling 45 m with uniform retardation. If total distance travelled is 395 m, find total time of travelling.
The fuel charges for running a train are proportional to the square of the speed generated in miles per hour and costs ₹ 48 per hour at 16 miles per hour. The most economical speed if the fixed charges i.e. salaries etc. amount to ₹ 300 per hour is
`phi` is the angle of the incline when a block of mass m just starts slipping down. The distance covered by the block if thrown up the incline with an initial speed u0 is
The coordinates of the point on the parabola y2 = 8x which is at minimum distance from the circle x2 + (y + 6)2 = 1 are
The equations of motion of a rocket are:
x = 2t,y = –4t, z = 4t, where the time t is given in seconds, and the coordinates of a ‘moving point in km. What is the path of the rocket? At what distances will the rocket be from the starting point O(0, 0, 0) and from the following line in 10 seconds? `vecr = 20hati - 10hatj + 40hatk + μ(10hati - 20hatj + 10hatk)`
Find the distance of the point (2, 3, 4) measured along the line `(x - 4)/3 = (y + 5)/6 = (z + 1)/2` from the plane 3x + 2y + 2z + 5 = 0.
If the distance of the point (1, 1, 1) from the plane x – y + z + λ = 0 is `5/sqrt(3)`, find the value(s) of λ.
Find the distance of the point (1, –2, 0) from the point of the line `vecr = 4hati + 2hatj + 7hatk + λ(3hati + 4hatj + 2hatk)` and the point `vecr.(hati - hatj + hatk)` = 10.
Find the coordinates of points on line `x/1 = (y - 1)/2 = (z + 1)/2` which are at a distance of `sqrt(11)` units from origin.
The distance of the point `2hati + hatj - hatk` from the plane `vecr.(hati - 2hatj + 4hatk)` = 9 will be ______.
Find the equations of the planes parallel to the plane x – 2y + 2z – 4 = 0 which is a unit distance from the point (1, 2, 3).
In the figure given below, if the coordinates of the point P are (a, b, c), then what are the perpendicular distances of P from XY, YZ and ZX planes respectively?

