Advertisements
Advertisements
Question
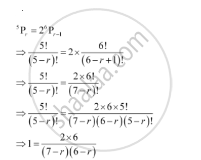
Find r if `""^5P_r = 2^6 P_(r-1)`
Advertisements
Solution


∴0 ≤ r ≤ 5
Hence, r ≠ 10
∴r = 3
APPEARS IN
RELATED QUESTIONS
Find x in each of the following:
Find x in each of the following:
A customer forgets a four-digits code for an Automatic Teller Machine (ATM) in a bank. However, he remembers that this code consists of digits 3, 5, 6 and 9. Find the largest possible number of trials necessary to obtain the correct code.
If three six faced die each marked with numbers 1 to 6 on six faces, are thrown find the total number of possible outcomes ?
Find the number of ways in which 8 distinct toys can be distributed among 5 childrens.
Find the number of ways in which one can post 5 letters in 7 letter boxes ?
Find the total number of ways in which 20 balls can be put into 5 boxes so that first box contains just one ball ?
There are 10 lamps in a hall. Each one of them can be switched on independently. Find the number of ways in which the hall can be illuminated ?
Evaluate each of the following:
6P6
Write the total number of possible outcomes in a throw of 3 dice in which at least one of the dice shows an even number.
Write the number of ways in which 7 men and 7 women can sit on a round table such that no two women sit together ?
Write the number of numbers that can be formed using all for digits 1, 2, 3, 4 ?
The number of arrangements of the word "DELHI" in which E precedes I is
The number of ways to arrange the letters of the word CHEESE are
The number of ways in which 6 men can be arranged in a row so that three particular men are consecutive, is
A 5-digit number divisible by 3 is to be formed using the digits 0, 1, 2, 3, 4 and 5 without repetition. The total number of ways in which this can be done is
The product of r consecutive positive integers is divisible by
The number of arrangements of the letters of the word BHARAT taking 3 at a time is
English alphabet has 11 symmetric letters that appear same when looked at in a mirror. These letters are A, H, I, M, O, T, U, V, W, X and Y. How many symmetric three letters passwords can be formed using these letters?
Find the number of arrangements that can be made out of the letters of the word “ASSASSINATION”.
- In how many ways can 8 identical beads be strung on a necklace?
- In how many ways can 8 boys form a ring?
The number of words with or without meaning that can be formed using letters of the word “EQUATION”, with no repetition of letters is:
If `""^10"P"_("r" - 1)` = 2 × 6Pr, find r
Suppose 8 people enter an event in a swimming meet. In how many ways could the gold, silver and bronze prizes be awarded?
A student appears in an objective test which contain 5 multiple choice questions. Each question has four choices out of which one correct answer.
What is the maximum number of different answers can the students give?
How many ways can the product a2 b3 c4 be expressed without exponents?
A coin is tossed 8 times, how many different sequences containing six heads and two tails are possible?
Each of the digits 1, 1, 2, 3, 3 and 4 is written on a separate card. The six cards are then laid out in a row to form a 6-digit number. How many of these 6-digit numbers are even?
Each of the digits 1, 1, 2, 3, 3 and 4 is written on a separate card. The six cards are then laid out in a row to form a 6-digit number. How many of these 6-digit numbers are divisible by 4?
If the letters of the word GARDEN are permuted in all possible ways and the strings thus formed are arranged in the dictionary order, then find the ranks of the words
DANGER
The number of arrangements of the letters of the word BANANA in which two N's do not appear adjacently is ______.
In how many ways can 5 children be arranged in a line such that two particular children of them are never together.
Suppose m men and n women are to be seated in a row so that no two women sit together. If m > n, show that the number of ways in which they can be seated is `(m!(m + 1)!)/((m - n + 1)1)`
Find the number of different words that can be formed from the letters of the word ‘TRIANGLE’ so that no vowels are together
In a certain city, all telephone numbers have six digits, the first two digits always being 41 or 42 or 46 or 62 or 64. How many telephone numbers have all six digits distinct?
The number of permutations of n different objects, taken r at a line, when repetitions are allowed, is ______.
In the permutations of n things, r taken together, the number of permutations in which m particular things occur together is `""^(n - m)"P"_(r - m) xx ""^r"P"_m`.
The number of three-digit even numbers, formed by the digits 0, 1, 3, 4, 6, 7 if the repetition of digits is not allowed, is ______.
