Advertisements
Advertisements
Question
Find the coordinates of the point where the line through (5, 1, 6) and (3, 4, 1) crosses the YZ-plane
Advertisements
Solution
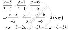
It is known that the equation of the line passing through the points, (x1, y1, z1) and (x2, y2, z2), is

The line passing through the points, (5, 1, 6) and (3, 4, 1), is given by,

Any point on the line is of the form (5 − 2k, 3k + 1, 6 −5k).
The equation of YZ-plane is x = 0
Since the line passes through YZ-plane,
5 − 2k = 0

APPEARS IN
RELATED QUESTIONS
In following cases, determine the direction cosines of the normal to the plane and the distance from the origin.
z = 2
In following cases, determine the direction cosines of the normal to the plane and the distance from the origin.
x + y + z = 1
In following cases, determine the direction cosines of the normal to the plane and the distance from the origin.
2x + 3y – z = 5
In following cases, determine the direction cosines of the normal to the plane and the distance from the origin.
5y + 8 = 0
Find the coordinates of the point where the line through (5, 1, 6) and (3, 4, 1) crosses the ZX − plane.
Find the coordinates of the point where the line through (3, −4, −5) and (2, − 3, 1) crosses the plane 2x + y + z = 7).
Find the equation of the plane passing through the point (2, 3, 1), given that the direction ratios of the normal to the plane are proportional to 5, 3, 2.
If the axes are rectangular and P is the point (2, 3, −1), find the equation of the plane through P at right angles to OP.
Find the intercepts made on the coordinate axes by the plane 2x + y − 2z = 3 and also find the direction cosines of the normal to the plane.
Reduce the equation 2x − 3y − 6z = 14 to the normal form and, hence, find the length of the perpendicular from the origin to the plane. Also, find the direction cosines of the normal to the plane.
Reduce the equation \[\vec{r} \cdot \left( \hat{i} - 2 \hat{j} + 2 \hat{k} \right) + 6 = 0\] to normal form and, hence, find the length of the perpendicular from the origin to the plane.
The direction ratios of the perpendicular from the origin to a plane are 12, −3, 4 and the length of the perpendicular is 5. Find the equation of the plane.
Find the equation of a plane which is at a distance of \[3\sqrt{3}\] units from the origin and the normal to which is equally inclined to the coordinate axes.
Find the vector equation of the plane which is at a distance of \[\frac{6}{\sqrt{29}}\] from the origin and its normal vector from the origin is \[2 \hat{i} - 3 \hat{j} + 4 \hat{k} .\] Also, find its Cartesian form.
Find the equation of the plane which contains the line of intersection of the planes \[x + 2y + 3z - 4 = 0 \text { and } 2x + y - z + 5 = 0\] and whose x-intercept is twice its z-intercept.
Find the value of λ such that the line \[\frac{x - 2}{6} = \frac{y - 1}{\lambda} = \frac{z + 5}{- 4}\] is perpendicular to the plane 3x − y − 2z = 7.
Find the vector equation of the plane passing through the points (3, 4, 2) and (7, 0, 6) and perpendicular to the plane 2x − 5y − 15 = 0. Also, show that the plane thus obtained contains the line \[\vec{r} = \hat{i} + 3 \hat{j} - 2 \hat{k} + \lambda\left( \hat{i} - \hat{j} + \hat{k} \right) .\]
Write the plane \[\vec{r} \cdot \left( 2 \hat{i} + 3 \hat{j} - 6 \hat{k} \right) = 14\] in normal form.
Write a vector normal to the plane \[\vec{r} = l \vec{b} + m \vec{c} .\]
Find the vector equation of a plane which is at a distance of 5 units from the origin and its normal vector is \[2 \hat{i} - 3 \hat{j} + 6 \hat{k} \] .
The equation of the plane containing the two lines
The equation of the plane \[\vec{r} = \hat{i} - \hat{j} + \lambda\left( \hat{i} + \hat{j} + \hat{k} \right) + \mu\left( \hat{i} - 2 \hat{j} + 3 \hat{k} \right)\] in scalar product form is
Find the equation of a plane which is at a distance `3sqrt(3)` units from origin and the normal to which is equally inclined to coordinate axis.
If the line drawn from the point (–2, – 1, – 3) meets a plane at right angle at the point (1, – 3, 3), find the equation of the plane.
The plane 2x – 3y + 6z – 11 = 0 makes an angle sin–1(α) with x-axis. The value of α is equal to ______.
The unit vector normal to the plane x + 2y +3z – 6 = 0 is `1/sqrt(14)hat"i" + 2/sqrt(14)hat"j" + 3/sqrt(14)hat"k"`.
Find the vector equation of a plane which is at a distance of 7 units from the origin and which is normal to the vector `3hati + 5hatj - 6hatk`
What will be the cartesian equation of the following plane. `vecr * (hati + hatj - hatk)` = 2
In the following cases find the c9ordinates of foot of perpendicular from the origin `2x + 3y + 4z - 12` = 0
Find the vector and cartesian equations of the planes that passes through (1, 0, – 2) and the normal to the plane is `hati + hatj - hatk`
