Advertisements
Advertisements
Question
Smaller area enclosed by the circle x2 + y2 = 4 and the line x + y = 2 is
A. 2 (π – 2)
B. π – 2
C. 2π – 1
D. 2 (π + 2)
Advertisements
Solution
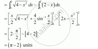
The smaller area enclosed by the circle, x2 + y2 = 4, and the line, x + y = 2, is represented by the shaded area ACBA as

It can be observed that,
Area ACBA = Area OACBO – Area (ΔOAB)

Thus, the correct answer is B.
APPEARS IN
RELATED QUESTIONS
Using integration, find the area of the region bounded by the triangle whose vertices are (−1, 2), (1, 5) and (3, 4).
Find the area of the region lying between the parabolas y2 = 4ax and x2 = 4ay.
Find the area of the circle 4x2 + 4y2 = 9 which is interior to the parabola x2 = 4y
Find the area bounded by curves (x – 1)2 + y2 = 1 and x2 + y 2 = 1
Find the area of the region bounded by the curves y = x2 + 2, y = x, x = 0 and x = 3
Using integration finds the area of the region bounded by the triangle whose vertices are (–1, 0), (1, 3) and (3, 2).
Using integration find the area of the triangular region whose sides have the equations y = 2x +1, y = 3x + 1 and x = 4.
Find the area bounded by curves {(x, y) : y ≥ x2 and y = |x|}.
The area bounded by the y-axis, y = cos x and y = sin x when 0 <= x <= `pi/2`
(A) 2 ( 2 −1)
(B) `sqrt2 -1`
(C) `sqrt2 + 1`
D. `sqrt2`
Using integration, find the area of region bounded by the triangle whose vertices are (–2, 1), (0, 4) and (2, 3).
Find the area included between the parabolas y2 = 4ax and x2 = 4by.
The area between x-axis and curve y = cos x when 0 ≤ x ≤ 2 π is ___________ .
Area enclosed between the curve y2 (2a − x) = x3 and the line x = 2a above x-axis is ___________ .
Area lying between the curves y2 = 4x and y = 2x is
Solve the following :
Find the area of the region lying between the parabolas y2 = 4x and x2 = 4y.
The area of the region included between the parabolas y2 = 16x and x2 = 16y, is given by ______ sq.units
The area enclosed between the two parabolas y2 = 20x and y = 2x is ______ sq.units
Find the area enclosed between y = cos x and X-axis between the lines x = `pi/2` and x ≤ `(3pi)/2`
Find the area of sector bounded by the circle x2 + y2 = 25, in the first quadrant−
Find the area enclosed between the X-axis and the curve y = sin x for values of x between 0 to 2π
Find the area of the ellipse `x^2/36 + y^2/64` = 1, using integration
Find the area of the region lying between the parabolas 4y2 = 9x and 3x2 = 16y
Find the area of the region included between y = x2 + 5 and the line y = x + 7
Find the area enclosed between the circle x2 + y2 = 9, along X-axis and the line x = y, lying in the first quadrant
Find the area enclosed by the curve x = 3 cost, y = 2 sint.
Determine the area under the curve y = `sqrt("a"^2 - x^2)` included between the lines x = 0 and x = a.
Find the area enclosed between 3y = x2, X-axis and x = 2 to x = 3.
Find the area cut off from the parabola 4y = 3x2 by the line 2y = 3x + 12.
