Advertisements
Advertisements
Question
Prove the following by using the principle of mathematical induction for all n ∈ N:
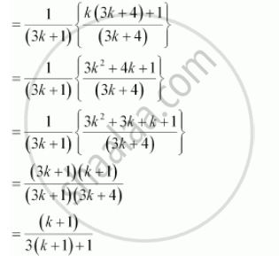
`1/1.4 + 1/4.7 + 1/7.10 + ... + 1/((3n - 2)(3n + 1)) = n/((3n + 1))`
Advertisements
Solution
Let the given statement be P(n), i.e.,


Thus, P(k + 1) is true whenever P(k) is true.
Hence, by the principle of mathematical induction, statement P(n) is true for all natural numbers i.e., n.
APPEARS IN
RELATED QUESTIONS
Prove the following by using the principle of mathematical induction for all n ∈ N: 1.2 + 2.22 + 3.22 + … + n.2n = (n – 1) 2n+1 + 2
Prove the following by using the principle of mathematical induction for all n ∈ N:
Prove the following by using the principle of mathematical induction for all n ∈ N:
Prove the following by using the principle of mathematical induction for all n ∈ N: n (n + 1) (n + 5) is a multiple of 3.
Prove the following by using the principle of mathematical induction for all n ∈ N: 32n + 2 – 8n– 9 is divisible by 8.
Prove the following by using the principle of mathematical induction for all n ∈ N: 41n – 14n is a multiple of 27.
If P (n) is the statement "n(n + 1) is even", then what is P(3)?
Given an example of a statement P (n) such that it is true for all n ∈ N.
\[\frac{1}{1 . 4} + \frac{1}{4 . 7} + \frac{1}{7 . 10} + . . . + \frac{1}{(3n - 2)(3n + 1)} = \frac{n}{3n + 1}\]
1.2 + 2.3 + 3.4 + ... + n (n + 1) = \[\frac{n(n + 1)(n + 2)}{3}\]
a + (a + d) + (a + 2d) + ... (a + (n − 1) d) = \[\frac{n}{2}\left[ 2a + (n - 1)d \right]\]
11n+2 + 122n+1 is divisible by 133 for all n ∈ N.
Given \[a_1 = \frac{1}{2}\left( a_0 + \frac{A}{a_0} \right), a_2 = \frac{1}{2}\left( a_1 + \frac{A}{a_1} \right) \text{ and } a_{n + 1} = \frac{1}{2}\left( a_n + \frac{A}{a_n} \right)\] for n ≥ 2, where a > 0, A > 0.
Prove that \[\frac{a_n - \sqrt{A}}{a_n + \sqrt{A}} = \left( \frac{a_1 - \sqrt{A}}{a_1 + \sqrt{A}} \right) 2^{n - 1}\]
Prove that n3 - 7n + 3 is divisible by 3 for all n \[\in\] N .
7 + 77 + 777 + ... + 777 \[{. . . . . . . . . . .}_{n - \text{ digits } } 7 = \frac{7}{81}( {10}^{n + 1} - 9n - 10)\]
\[\text{ A sequence } a_1 , a_2 , a_3 , . . . \text{ is defined by letting } a_1 = 3 \text{ and } a_k = 7 a_{k - 1} \text{ for all natural numbers } k \geq 2 . \text{ Show that } a_n = 3 \cdot 7^{n - 1} \text{ for all } n \in N .\]
\[\text { A sequence } x_1 , x_2 , x_3 , . . . \text{ is defined by letting } x_1 = 2 \text{ and } x_k = \frac{x_{k - 1}}{k} \text{ for all natural numbers } k, k \geq 2 . \text{ Show that } x_n = \frac{2}{n!} \text{ for all } n \in N .\]
Prove by method of induction, for all n ∈ N:
(23n − 1) is divisible by 7
Answer the following:
Prove, by method of induction, for all n ∈ N
8 + 17 + 26 + … + (9n – 1) = `"n"/2(9"n" + 7)`
Answer the following:
Prove, by method of induction, for all n ∈ N
12 + 42 + 72 + ... + (3n − 2)2 = `"n"/2 (6"n"^2 - 3"n" - 1)`
Answer the following:
Prove, by method of induction, for all n ∈ N
`1/(3.4.5) + 2/(4.5.6) + 3/(5.6.7) + ... + "n"/(("n" + 2)("n" + 3)("n" + 4)) = ("n"("n" + 1))/(6("n" + 3)("n" + 4))`
Answer the following:
Prove by method of induction 52n − 22n is divisible by 3, for all n ∈ N
Prove statement by using the Principle of Mathematical Induction for all n ∈ N, that:
1 + 3 + 5 + ... + (2n – 1) = n2
Prove statement by using the Principle of Mathematical Induction for all n ∈ N, that:
22n – 1 is divisible by 3.
Prove statement by using the Principle of Mathematical Induction for all n ∈ N, that:
2n + 1 < 2n, for all natual numbers n ≥ 3.
Prove by the Principle of Mathematical Induction that 1 × 1! + 2 × 2! + 3 × 3! + ... + n × n! = (n + 1)! – 1 for all natural numbers n.
Give an example of a statement P(n) which is true for all n ≥ 4 but P(1), P(2) and P(3) are not true. Justify your answer
Prove the statement by using the Principle of Mathematical Induction:
4n – 1 is divisible by 3, for each natural number n.
Prove the statement by using the Principle of Mathematical Induction:
n(n2 + 5) is divisible by 6, for each natural number n.
Prove the statement by using the Principle of Mathematical Induction:
n2 < 2n for all natural numbers n ≥ 5.
Prove the statement by using the Principle of Mathematical Induction:
1 + 5 + 9 + ... + (4n – 3) = n(2n – 1) for all natural numbers n.
Prove that, cosθ cos2θ cos22θ ... cos2n–1θ = `(sin 2^n theta)/(2^n sin theta)`, for all n ∈ N.
If xn – 1 is divisible by x – k, then the least positive integral value of k is ______.
If P(n): 2n < n!, n ∈ N, then P(n) is true for all n ≥ ______.
State whether the following statement is true or false. Justify.
Let P(n) be a statement and let P(k) ⇒ P(k + 1), for some natural number k, then P(n) is true for all n ∈ N.
Consider the statement: “P(n) : n2 – n + 41 is prime." Then which one of the following is true?
