Advertisements
Advertisements
Question
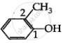
निम्नलिखित यौगिक के IUPAC नाम लिखिए-

One Line Answer
Advertisements
Solution

2-मेथिलफिनॉल
shaalaa.com
ऐल्केन - नाम पद्धति तथा समावयवता
Is there an error in this question or solution?
RELATED QUESTIONS
निम्नलिखित यौगिक के IUPAC नाम लिखिए-
\[\ce{CH3CH = C(CH3)2}\]
निम्नलिखित यौगिक के IUPAC नाम लिखिए-
\[\ce{CH2 = CH-C ≡ C-CH3}\]
निम्नलिखित यौगिक के IUPAC नाम लिखिए-

निम्नलिखित यौगिक के IUPAC नाम लिखिए-

निम्नलिखित यौगिक के IUPAC नाम लिखिए-
\[\begin{array}{cc}
\ce{CH3(CH2)4CH(CH2)3CH3}\phantom{......}\\
|\phantom{........}\\
\phantom{........}\ce{CH2 - CH(CH3)2}
\end{array}\]
निम्नलिखित यौगिक के IUPAC नाम लिखिए-
\[\begin{array}{cc}
\ce{CH3 - CH = CH - CH2 - CH = CH - CH - CH2 - CH = CH2}\\
\phantom{.................}|\\
\phantom{....................}\ce{C2H5}\\
\end{array}\]
