Advertisements
Advertisements
Question
Integrate the functions `(sin^(-1) sqrtx - cos^(-1) sqrtx)/ (sin^(-1) sqrtx + cos^(-1) sqrtx) , x in [0,1]`
Advertisements
Solution
Let I=∫sin-1x-cos-1xsin-1x+cos-1xdx
It is known that, sin-1x+cos-1x=π2
⇒I=∫π2-cos-1x-cos-1xπ2dx
=2π∫π2-2cos-1xdx
=2π.π2∫1.dx-4π∫cos-1xdx
=x-4π∫cos-1xdx ...(1)
Let I1=∫cos-1x dx
Also, let x=t⇒dx=2 t dt
⇒I1=2∫cos-1t.t dt
=2cos-1t.t22-∫-11-t2.t22dt
=t2cos-1t+∫t21-t2dt
=t2cos-1t-∫1-t2-11-t2dt
=t2cos-1t-∫1-t2dt+∫11-t2dt
=t2cos-1t-t21-t2-12sin-1t+sin-1t
=t2cos-1t-t21-t2+12sin-1t
From equation (1), we obtain
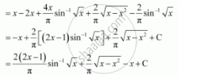
I=x-4πt2cos-1t-t21-t2+12sin-1t =x-4πxcos-1x-x21-x+12sin-1x
=x-4πxπ2-sin-1x-x-x22+12sin-1x

APPEARS IN
RELATED QUESTIONS
Write the antiderivative of `(3sqrtx+1/sqrtx).`
Find an anti derivative (or integral) of the following function by the method of inspection.
sin 2x
Find an anti derivative (or integral) of the following function by the method of inspection.
Cos 3x
Find the following integrals:
`intx^2 (1 - 1/x^2)dx`
Find the following integrals:
`int(2x^2 + e^x)dx`
Find the following integrals:
`int(sqrtx - 1/sqrtx)^2 dx`
Find the following integrals:
`int (x^3 + 3x + 4)/sqrtx dx`
Find the following integrals:
`int (x^3 - x^2 + x - 1)/(x - 1) dx`
Find the following integrals:
`int(2x^2 - 3sinx + 5sqrtx) dx`
Find the following integrals:
`intsec x (sec x + tan x) dx`
The anti derivative of `(sqrtx + 1/ sqrtx)` equals:
Integrate the function:
`1/(x - x^3)`
Integrate the function:
`1/(sqrt(x+a) + sqrt(x+b))`
Integrate the function:
`1/(xsqrt(ax - x^2)) ["Hint : Put x" = a/t]`
Integrate the function:
`(sin^8 x - cos^8 x)/(1-2sin^2 x cos^2 x)`
Integrate the function:
`e^x/((1+e^x)(2+e^x))`
Integrate the function:
`1/((x^2 + 1)(x^2 + 4))`
Integrate the function:
`e^(3log x) (x^4 + 1)^(-1)`
Integrate the function:
`(2+ sin 2x)/(1+ cos 2x) e^x`
Integrate the function:
`(x^2 + x + 1)/((x + 1)^2 (x + 2))`
Evaluate `int(x^3+5x^2 + 4x + 1)/x^2 dx`
Evaluate `int tan^(-1) sqrtx dx`
Find : \[\int\frac{\left( x^2 + 1 \right)\left( x^2 + 4 \right)}{\left( x^2 + 3 \right)\left( x^2 - 5 \right)}dx\] .
Evaluate: `int (1 - cos x)/(cos x(1 + cos x)) dx`
`sqrt((10x^9 + 10^x log e^10)/(x^10 + 10^x)) dx` equals
`int (dx)/(sin^2x cos^2x) dx` equals
`int (e^x (1 + x))/(cos^2 (xe^x)) dx` equal
`int (xdx)/((x - 1)(x - 2))` equals
`int e^x sec x(1 + tanx) dx` equals
`int sqrt(x^2 - 8x + 7) dx` is equal to:-
If the normal to the curve y(x) = `int_0^x(2t^2 - 15t + 10)dt` at a point (a, b) is parallel to the line x + 3y = –5, a > 1, then the value of |a + 6b| is equal to ______.
`d/(dx)x^(logx)` = ______.
If y = `x^((sinx)^(x^((sinx)^(x^(...∞)`, then `(dy)/(dx)` at x = `π/2` is equal to ______.
`int (dx)/sqrt(5x - 6 - x^2)` equals ______.
Anti-derivative of `(tanx - 1)/(tanx + 1)` with respect to x is ______.
