Advertisements
Advertisements
Question
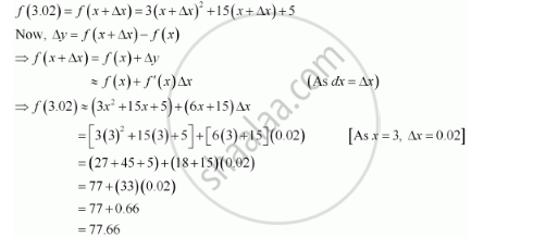
If f (x) = 3x2 + 15x + 5, then the approximate value of f (3.02) is
A. 47.66
B. 57.66
C. 67.66
D. 77.66
Advertisements
Solution
Let x = 3 and Δx = 0.02. Then, we have:

Hence, the approximate value of f(3.02) is 77.66.
The correct answer is D.
APPEARS IN
RELATED QUESTIONS
Using differentials, find the approximate value of the following up to 3 places of decimal
`(32.15)^(1/5)`
Find the approximate value of f (2.01), where f (x) = 4x2 + 5x + 2
Find the approximate value of f (5.001), where f (x) = x3 − 7x2 + 15.
If the radius of a sphere is measured as 9 m with an error of 0.03 m, then find the approximate error in calculating in surface area
The approximate change in the volume of a cube of side x metres caused by increasing the side by 3% is
A. 0.06 x3 m3
B. 0.6 x3 m3
C. 0.09 x3 m3
D. 0.9 x3 m3
Using differentials, find the approximate value of each of the following.
`(17/81)^(1/4)`
The normal at the point (1, 1) on the curve 2y + x2 = 3 is
(A) x + y = 0
(B) x − y = 0
(C) x + y + 1 = 0
(D) x − y = 1
Find the approximate change in the volume ‘V’ of a cube of side x metres caused by decreasing the side by 1%.
If y = sin x and x changes from π/2 to 22/14, what is the approximate change in y ?
If there is an error of 0.1% in the measurement of the radius of a sphere, find approximately the percentage error in the calculation of the volume of the sphere ?
Show that the relative error in computing the volume of a sphere, due to an error in measuring the radius, is approximately equal to three times the relative error in the radius ?
1 Using differential, find the approximate value of the following:
\[\sqrt{25 . 02}\]
Using differential, find the approximate value of the loge 4.04, it being given that log104 = 0.6021 and log10e = 0.4343 ?
Using differential, find the approximate value of the log10 10.1, it being given that log10e = 0.4343 ?
Using differential, find the approximate value of the \[\frac{1}{\sqrt{25 . 1}}\] ?
Using differential, find the approximate value of the \[\sin\left( \frac{22}{14} \right)\] ?
Using differential, find the approximate value of the \[\left( 29 \right)^\frac{1}{3}\] ?
Using differential, find the approximate value of the \[\sqrt{49 . 5}\] ?
Using differential, find the approximate value of the \[\sqrt{0 . 082}\] ?
Find the approximate value of log10 1005, given that log10 e = 0.4343 ?
If y = loge x, then find ∆y when x = 3 and ∆x = 0.03 ?
If the relative error in measuring the radius of a circular plane is α, find the relative error in measuring its area ?
If there is an error of 2% in measuring the length of a simple pendulum, then percentage error in its period is
If there is an error of a% in measuring the edge of a cube, then percentage error in its surface is
While measuring the side of an equilateral triangle an error of k % is made, the percentage error in its area is
The circumference of a circle is measured as 28 cm with an error of 0.01 cm. The percentage error in the area is
Find the approximate values of : `sqrt(8.95)`
Find the approximate values of : `root(5)(31.98)`
Find the approximate values of : (3.97)4
Find the approximate values of : tan (45° 40'), given that 1° = 0.0175°.
Find the approximate values of : e0.995, given that e = 2.7183.
Find the approximate values of : 32.01, given that log 3 = 1.0986
The approximate value of tan (44°30'), given that 1° = 0.0175c, is ______.
The approximate value of the function f(x) = x3 − 3x + 5 at x = 1.99 is ____________.
If y = x4 – 10 and if x changes from 2 to 1.99, what is the change in y ______.
The approximate value of f(x) = x3 + 5x2 – 7x + 9 at x = 1.1 is ______.
Find the approximate value of sin (30° 30′). Give that 1° = 0.0175c and cos 30° = 0.866
