Advertisements
Advertisements
Question
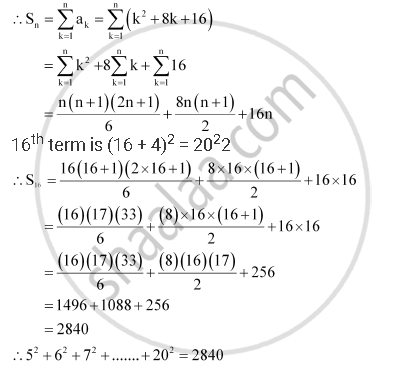
Find the sum to n terms of the series 52 + 62 + 72 + ... + 202
Advertisements
Solution
The given series is 52 + 62 + 72 + … + 202
nth term, an = ( n + 4)2 = n2 + 8n + 16

shaalaa.com
Is there an error in this question or solution?
