Advertisements
Advertisements
Question
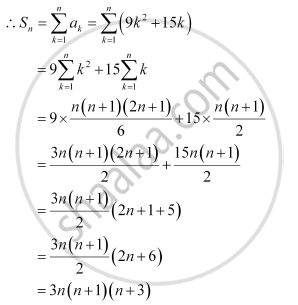
Find the sum to n terms of the series 3 × 8 + 6 × 11 + 9 × 14 +…
Advertisements
Solution
The given series is 3 × 8 + 6 × 11 + 9 × 14 + …
an = (nth term of 3, 6, 9 …) × (nth term of 8, 11, 14, …)
= (3n) (3n + 5)
= 9n2 + 15n

shaalaa.com
Is there an error in this question or solution?
