Advertisements
Advertisements
Question
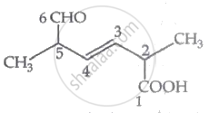
The IUPAC name for the following compound is:

Options
2,5-dimethyl-6-carboxy-hex-3-enal
2,5-dimethyl-5-carboxy-hex-3-enal
6-formyl-2-methyl-hex-3-enoic acid
2,5 dimethyl-6-oxo-hex-3-enoic acid
MCQ
Advertisements
Solution
2,5 dimethyl-6-oxo-hex-3-enoic acid
Explanation:

shaalaa.com
Is there an error in this question or solution?
