Advertisements
Advertisements
Question
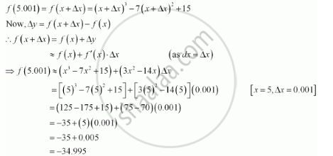
Find the approximate value of f (5.001), where f (x) = x3 − 7x2 + 15.
Advertisements
Solution
Let x = 5 and Δx = 0.001. Then, we have:

Hence, the approximate value of f (5.001) is −34.995.
APPEARS IN
RELATED QUESTIONS
Find the approximate value of cos (60° 30').
(Given: 1° = 0.0175c, sin 60° = 0.8660)
Using differentials, find the approximate value of the following up to 3 places of decimal
`sqrt(49.5)`
Using differentials, find the approximate value of the following up to 3 places of decimal
`(255)^(1/4)`
Using differentials, find the approximate value of the following up to 3 places of decimal
`(82)^(1/4)`
Using differentials, find the approximate value of the following up to 3 places of decimal
`(32.15)^(1/5)`
Find the approximate value of f (2.01), where f (x) = 4x2 + 5x + 2
Find the approximate change in the volume V of a cube of side x metres caused by increasing side by 1%.
Using differentials, find the approximate value of each of the following.
`(33)^(1/5)`
The normal to the curve x2 = 4y passing (1, 2) is
(A) x + y = 3
(B) x − y = 3
(C) x + y = 1
(D) x − y = 1
A circular metal plate expends under heating so that its radius increases by k%. Find the approximate increase in the area of the plate, if the radius of the plate before heating is 10 cm.
Find the percentage error in calculating the surface area of a cubical box if an error of 1% is made in measuring the lengths of edges of the cube ?
If there is an error of 0.1% in the measurement of the radius of a sphere, find approximately the percentage error in the calculation of the volume of the sphere ?
Show that the relative error in computing the volume of a sphere, due to an error in measuring the radius, is approximately equal to three times the relative error in the radius ?
Using differential, find the approximate value of the following: \[\left( 0 . 009 \right)^\frac{1}{3}\]
Using differential, find the approximate value of the following: \[\left( 0 . 007 \right)^\frac{1}{3}\]
Using differential, find the approximate value of the \[\sqrt{401}\] ?
Using differential, find the approximate value of the \[\frac{1}{(2 . 002 )^2}\] ?
Using differential, find the approximate value of the \[\frac{1}{\sqrt{25 . 1}}\] ?
Using differential, find the approximate value of the \[\left( 29 \right)^\frac{1}{3}\] ?
Using differential, find the approximate value of the \[\left( \frac{17}{81} \right)^\frac{1}{4}\] ?
Using differential, find the approximate value of the \[{25}^\frac{1}{3}\] ?
Find the approximate change in the surface area of a cube of side x metres caused by decreasing the side by 1% ?
For the function y = x2, if x = 10 and ∆x = 0.1. Find ∆ y ?
A piece of ice is in the form of a cube melts so that the percentage error in the edge of cube is a, then find the percentage error in its volume ?
If an error of k% is made in measuring the radius of a sphere, then percentage error in its volume is
The circumference of a circle is measured as 28 cm with an error of 0.01 cm. The percentage error in the area is
Find the approximate values of : (3.97)4
Find the approximate values of : sin 61° , given that 1° = 0.0174c, `sqrt(3) = 1.732`
Find the approximate values of : e2.1, given that e2 = 7.389
Find the approximate values of : loge(9.01), given that log 3 = 1.0986.
Using differentiation, approximate value of f(x) = x2 - 2x + 1 at x = 2.99 is ______.
Find the approximate value of f(3.02), where f(x) = 3x2 + 5x + 3
If the radius of a sphere is measured as 9 m with an error of 0.03 m. the find the approximate error in calculating its surface area
If `(x) = 3x^2 + 15x + 5`, then the approximate value of `f(3.02)` is
The approximate change in volume of a cube of side `x` meters coverd by increasing the side by 3% is
The approximate value of f(x) = x3 + 5x2 – 7x + 9 at x = 1.1 is ______.
