Advertisements
Advertisements
प्रश्न
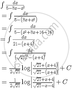
Find `int dx/(5 - 8x - x^2)`
Advertisements
उत्तर

APPEARS IN
संबंधित प्रश्न
find : `int(3x+1)sqrt(4-3x-2x^2)dx`
Find:
`int(x^3-1)/(x^3+x)dx`
Evaluate:
`int((x+3)e^x)/((x+5)^3)dx`
Integrate the function `1/sqrt(1+4x^2)`
Integrate the function `(3x)/(1+ 2x^4)`
Integrate the function `(sec^2 x)/sqrt(tan^2 x + 4)`
Integrate the function `1/(9x^2 + 6x + 5)`
Integrate the function `1/sqrt(7 - 6x - x^2)`
Integrate the function `(4x+ 1)/sqrt(2x^2 + x - 3)`
Integrate the function `(5x - 2)/(1 + 2x + 3x^2)`
Integrate the function `(x + 2)/sqrt(4x - x^2)`
`int dx/sqrt(9x - 4x^2)` equals:
Integrate the function:
`sqrt(x^2 + 4x + 6)`
Integrate the function:
`sqrt(1+ 3x - x^2)`
Integrate the function:
`sqrt(x^2 + 3x)`
Integrate the function:
`sqrt(1+ x^2/9)`
`int sqrt(1+ x^2) dx` is equal to ______.
`int sqrt(x^2 - 8x + 7) dx` is equal to ______.
Integration of \[\frac{1}{1 + \left( \log_e x \right)^2}\] with respect to loge x is
\[\int\frac{1 + x + x^2}{x^2 \left( 1 + x \right)} \text{ dx}\]
Find : \[\int\left( 2x + 5 \right)\sqrt{10 - 4x - 3 x^2}dx\] .
Find `int (dx)/sqrt(4x - x^2)`
Find: `int (dx)/(x^2 - 6x + 13)`
