Advertisements
Advertisements
प्रश्न
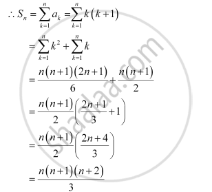
Find the sum to n terms of the series 1 × 2 + 2 × 3 + 3 × 4 + 4 × 5 + …
Advertisements
उत्तर
The given series is 1 × 2 + 2 × 3 + 3 × 4 + 4 × 5 + …
nth term, an = n ( n + 1)

shaalaa.com
क्या इस प्रश्न या उत्तर में कोई त्रुटि है?
