मराठी

Mathematics 2023-2024 Commerce (English Medium) Class 12 65/3/1 question paper with PDF download

Advertisements
Mathematics 2023-2024 - CBSE 12th - Class 12 - CBSE (Central Board of Secondary Education) question paper with PDF download
1
Mathematics 2023-2024 - CBSE 12th - Class 12 - CBSE (Central Board of Secondary Education) question paper with PDF download
2
Mathematics 2023-2024 - CBSE 12th - Class 12 - CBSE (Central Board of Secondary Education) question paper with PDF download
3
Mathematics 2023-2024 - CBSE 12th - Class 12 - CBSE (Central Board of Secondary Education) question paper with PDF download
4
Mathematics 2023-2024 - CBSE 12th - Class 12 - CBSE (Central Board of Secondary Education) question paper with PDF download
5
Mathematics 2023-2024 - CBSE 12th - Class 12 - CBSE (Central Board of Secondary Education) question paper with PDF download
6
Mathematics 2023-2024 - CBSE 12th - Class 12 - CBSE (Central Board of Secondary Education) question paper with PDF download
7
Mathematics 2023-2024 - CBSE 12th - Class 12 - CBSE (Central Board of Secondary Education) question paper with PDF download
8
Mathematics 2023-2024 - CBSE 12th - Class 12 - CBSE (Central Board of Secondary Education) question paper with PDF download
9
Mathematics 2023-2024 - CBSE 12th - Class 12 - CBSE (Central Board of Secondary Education) question paper with PDF download
10
Mathematics 2023-2024 - CBSE 12th - Class 12 - CBSE (Central Board of Secondary Education) question paper with PDF download
11
Mathematics 2023-2024 - CBSE 12th - Class 12 - CBSE (Central Board of Secondary Education) question paper with PDF download
12
Mathematics 2023-2024 - CBSE 12th - Class 12 - CBSE (Central Board of Secondary Education) question paper with PDF download
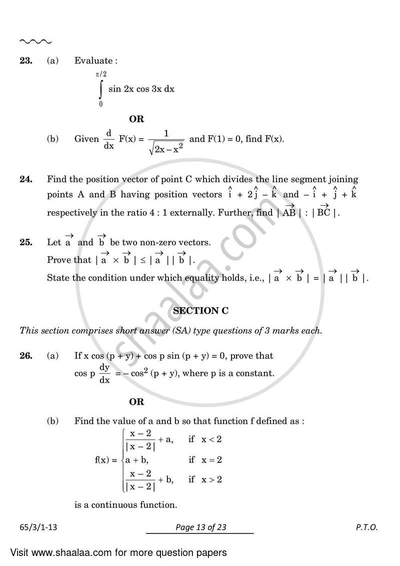
13
Mathematics 2023-2024 - CBSE 12th - Class 12 - CBSE (Central Board of Secondary Education) question paper with PDF download
14
Mathematics 2023-2024 - CBSE 12th - Class 12 - CBSE (Central Board of Secondary Education) question paper with PDF download
15
Mathematics 2023-2024 - CBSE 12th - Class 12 - CBSE (Central Board of Secondary Education) question paper with PDF download
16
Mathematics 2023-2024 - CBSE 12th - Class 12 - CBSE (Central Board of Secondary Education) question paper with PDF download
17
Mathematics 2023-2024 - CBSE 12th - Class 12 - CBSE (Central Board of Secondary Education) question paper with PDF download
18
Mathematics 2023-2024 - CBSE 12th - Class 12 - CBSE (Central Board of Secondary Education) question paper with PDF download
19
Mathematics 2023-2024 - CBSE 12th - Class 12 - CBSE (Central Board of Secondary Education) question paper with PDF download
20
Mathematics 2023-2024 - CBSE 12th - Class 12 - CBSE (Central Board of Secondary Education) question paper with PDF download
21
Mathematics 2023-2024 - CBSE 12th - Class 12 - CBSE (Central Board of Secondary Education) question paper with PDF download
22
Mathematics 2023-2024 - CBSE 12th - Class 12 - CBSE (Central Board of Secondary Education) question paper with PDF download
23
1 /  23
Mathematics 2023-2024 - CBSE 12th - Class 12 - CBSE (Central Board of Secondary Education) question paper with PDF download

Other Solutions
































Advertisements

Topics

0.01 Relations and Functions
0.02 Inverse Trigonometric Functions
0.03 Matrices
0.04 Determinants
0.05 Continuity and Differentiability
0.06 Applications of Derivatives
0.07 Integrals
0.08 Applications of the Integrals
0.09 Differential Equations
0.10 Vectors
0.11 Three - Dimensional Geometry
0.12 Linear Programming
0.13 Probability
Advertisements

Previous Year Question Paper for CBSE Class 12 Mathematics - free PDF Download

      Find CBSE Class 12 Mathematics previous year question papers PDF. CBSE Class 12 Maths question paper 2025 are provided here in PDF format which students may download to boost their preparations for the Board Exam. Previous year question papers are designed by the experts based on the latest revised CBSE Class 12 syllabus. Practicing question paper gives you the confidence to face the board exam with minimum fear and stress since you get proper idea about question paper pattern and marks weightage. CBSE previous year question paper Class 12 pdf can be dowloaded but Shaalaa allows you to see it online so downloading is not necessary. When exams date come closer the anxiety will increase and students are confused where to start. Practicing Previous Year Question Papers is the best way to prepare for your board exams and achieve good score.
     Question Paper for CBSE Class 12 Mathematics are very useful for students so that they can better understand the concepts by practicing them regularly. Students should practice the questions provided in the Previous Year Question Paper to get better marks in the examination. Question papers for CBSE Class 12 Maths question paper 2025 gives an idea about the questions coming in the board exams and previous years papers give the sample questions asked by CBSE in the exams. By solving the Question Papers, you can scale your preparation level and work on your weak areas. It will also help the candidates in developing the time-management skills.

How CBSE Class 12 Previous Year Question Papers Help Students ?

• Students get an idea of question paper pattern and marking scheme of the exam so they can manage their exam time to attempt all questions to score more.
• CBSE Class 12 previous year papers will help students by how one question is ask in different way, importance of question by how many time this question asked in previous year exam.
• Question papers will helps students to prepare for exam.
To get all Question paper
• Solving previous year question paper will boost students confidence in exam time and also give you an idea About the important questions and topics to be prepared for the board exam.
Share
Notifications

Englishहिंदीमराठी


      Forgot password?
Use app×