Advertisements
Advertisements
प्रश्न
प्रोटीन की द्वितीयक संरचना के सामान्य प्रकार क्या हैं?
Advertisements
उत्तर
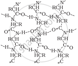
किसी प्रोटीन की द्वितीयक संरचना का संबंध उस आकृति से है जिसमें पॉलिपेप्टाइड श्रृंखला विद्यमान होती है। यह दो भिन्न प्रकार की संरचनाओं में विद्यमान होती हैं- α-हेलिक्स तथा β-प्लीटेड शीट संरचना। ये संरचनाएँ पेप्टाइड आबंध के \[\begin{array}{cc}\ce{O}\\||\\\ce{-C-}\end{array}\] तथा –NH– समूह के मध्य हाइड्रोजन बंध के कारण पॉलिपेप्टाइड की मुख्य श्रृंखला के नियमित कुंडलन में उत्पन्न होती हैं। α-हेलिक्स संरचना एक ऐसी संरचना है जिसमें पॉलिपेप्टाइड श्रृंखला में सभी संभव हाइड्रोजन आबंध बन सकते हैं। इसमें पॉलिपेप्टाइड श्रृंखला दक्षिणावर्ती पेंच के सामन मुड़ी रहती है फलस्वरूप प्रत्येक ऐमीनो अम्ल अवशिष्ट का –NH समूह, कुंडली के अगले मोड़ पर स्थित \[\begin{array}{cc}\backslash\phantom{.....}\\\ce{C=O}\\/\phantom{......}\end{array}\] समूह के साथ हाइड्रोजन आबंध बनता है जैसा कि चित्र में दर्शाया गया है।

प्रोटीन की α-कुंडलिनि संरचना
β-संरचना में सभी पॉलिपेप्टाइड श्रृंखलाएँ लगभग अधिकतम विस्तार तक खिंची रहकर एक दूसरे के पार्श्व में स्थित होती हैं तथा आपस में अंतराआण्विक हाइड्रोजन आबंध द्वारा जुड़ी रहती हैं। यह संरचना वस्त्रों में प्लीट के समान होती है अतः इसको β-प्लीटेड शीट कहते हैं।

प्रोटीन की β-प्लीटेड शीट संरचना
APPEARS IN
संबंधित प्रश्न
चिकित्सार्थ अभिकर्ता (therapeutic agents) के रूप में प्रयोग में आने वाले प्रोटीन का पता लगाइए व सूचीबद्ध कीजिए। प्रोटीन की अन्य उपयोगिताओं को बताइए। (जैसे-सौन्दर्य-प्रसाधन आदि)।
क्या आप प्रोटीन की अवधारणा के आधार पर वर्णन कर सकते हैं कि दूध का दही अर्थवा योगर्ट में परिवर्तन किस प्रकार होता है?
प्रोटीन, वसा व तेल, अमीनो अम्लों का विश्लेषणात्मक परीक्षण बताइए एवं किसी भी फल के रस, लार, पसीना तथा मूत्र में इनका परीक्षण करें?
अनावश्यक ऐमीनो अम्ल क्या होते हैं? दो उदाहरण दीजिए।
प्रोटीन के संदर्भ में निम्नलिखित को परिभाषित कीजिए।
पेप्टाइड बंध
प्रोटीन के संदर्भ में निम्नलिखित को परिभाषित कीजिए।
प्राथमिक संरचना
प्रोटीन के संदर्भ में निम्नलिखित को परिभाषित कीजिए।
विकृतीकरण
रेशेदार तथा गोलिकाकार (globular) प्रोटीन को विभेदित कीजिए।
ऐमीनो अम्लों की उभयधर्मी प्रकृति को आप कैसे समझाएँगे?
प्रोटीन की संरचना पर विकृतीकरण का क्या प्रभाव होता है?
