Advertisements
Advertisements
प्रश्न
An urn contains 25 balls of which 10 balls bear a mark ‘X’ and the remaining 15 bear a mark ‘Y’. A ball is drawn at random from the urn, its mark is noted down and it is replaced. If 6 balls are drawn in this way, find the probability that
(i) all will bear ‘X’ mark.
(ii) not more than 2 will bear ‘Y’ mark.
(iii) at least one ball will bear ‘Y’ mark
(iv) the number of balls with ‘X’ mark and ‘Y’ mark will be equal.
Advertisements
उत्तर
Total number of balls in the urn = 25
Balls bearing mark ‘X’ = 10
Balls bearing mark ‘Y’ = 15
p = P (ball bearing mark ‘X’) =`10/25 = 2/5`
q = P (ball bearing mark ‘Y’) =`15/25 = 3/5`
Six balls are drawn with replacement. Therefore, the number of trials are Bernoulli trials.
Let Z be the random variable that represents the number of balls with ‘Y’ mark on them in the trials.
Clearly, Z has a binomial distribution with n = 6 and p = 2/5
∴ P (Z = z) = `""^nC_zp^(n-z)q^z`
(i) P (all will bear ‘X’ mark) = P (Z = 0) =`""^6C_0 (2/5)^6 = (2/5)^6`
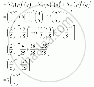
(ii) P (not more than 2 bear ‘Y’ mark) = P (Z ≤ 2)
= P (Z = 0) + P (Z = 1) + P (Z = 2)

(iii) P (at least one ball bears ‘Y’ mark) = P (Z ≥ 1) = 1 − P (Z = 0)
`= 1 - (2/5)^6`
(iv) P (equal number of balls with ‘X’ mark and ‘Y’ mark) = P (Z = 3)
= C36 253 353
`= 20x8x27/15628`
`= 864/3125`
