हिंदी

Accounts 2 - Accounting and Financial Management 2010-2011 BCom IDOL (Correspondence) 2nd Year (SYBcom) question paper with PDF download

Advertisements
Accounts 2 - Accounting and Financial Management 2010-2011 - B.Com. - 2nd Year (SYBcom) - University of Mumbai question paper with PDF download
1
Accounts 2 - Accounting and Financial Management 2010-2011 - B.Com. - 2nd Year (SYBcom) - University of Mumbai question paper with PDF download
2
Accounts 2 - Accounting and Financial Management 2010-2011 - B.Com. - 2nd Year (SYBcom) - University of Mumbai question paper with PDF download
3
Accounts 2 - Accounting and Financial Management 2010-2011 - B.Com. - 2nd Year (SYBcom) - University of Mumbai question paper with PDF download
4
Accounts 2 - Accounting and Financial Management 2010-2011 - B.Com. - 2nd Year (SYBcom) - University of Mumbai question paper with PDF download
5
Accounts 2 - Accounting and Financial Management 2010-2011 - B.Com. - 2nd Year (SYBcom) - University of Mumbai question paper with PDF download
6
Accounts 2 - Accounting and Financial Management 2010-2011 - B.Com. - 2nd Year (SYBcom) - University of Mumbai question paper with PDF download
7
Accounts 2 - Accounting and Financial Management 2010-2011 - B.Com. - 2nd Year (SYBcom) - University of Mumbai question paper with PDF download
8
Accounts 2 - Accounting and Financial Management 2010-2011 - B.Com. - 2nd Year (SYBcom) - University of Mumbai question paper with PDF download
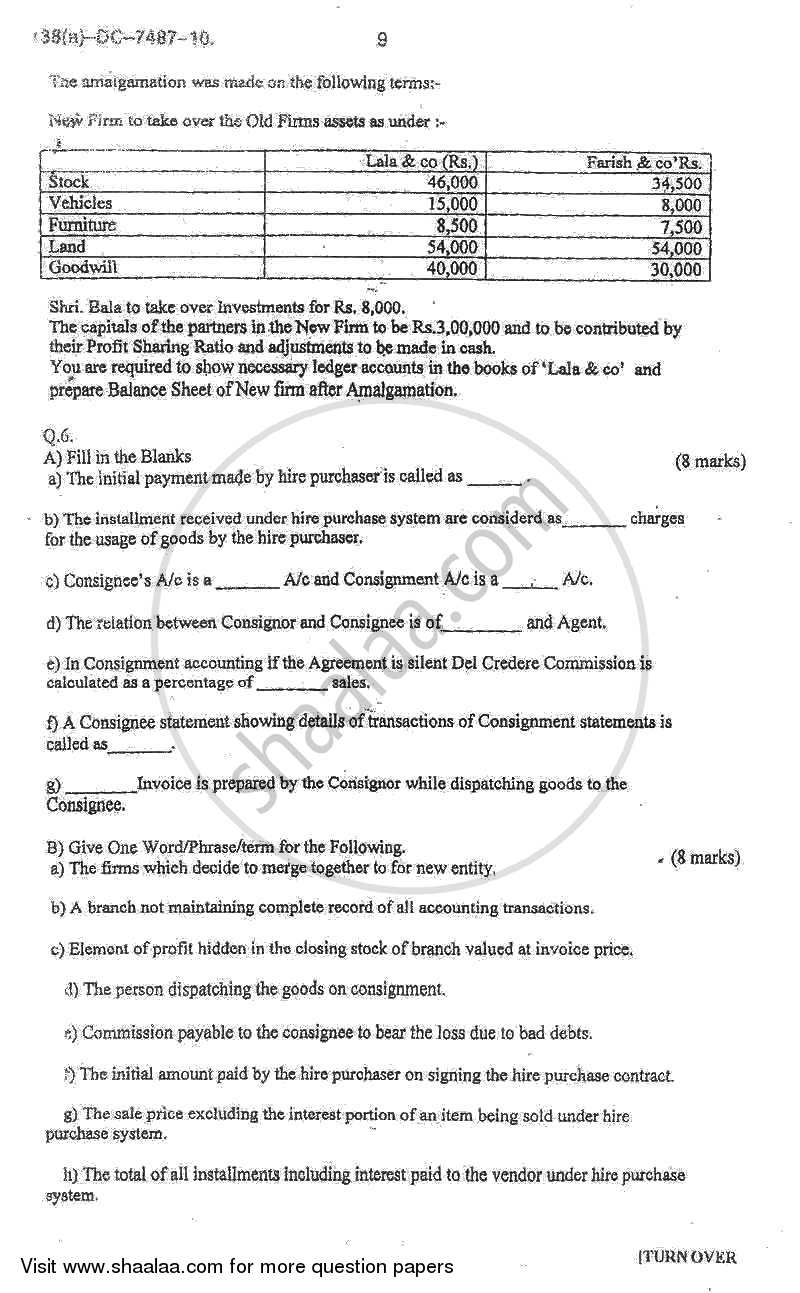
9
Accounts 2 - Accounting and Financial Management 2010-2011 - B.Com. - 2nd Year (SYBcom) - University of Mumbai question paper with PDF download
10
1 /  10
Accounts 2 - Accounting and Financial Management 2010-2011 - B.Com. - 2nd Year (SYBcom) - University of Mumbai question paper with PDF download
Advertisements
Advertisements

Previous Year Question Paper for University of Mumbai 2nd Year (SYBcom) Accounts 2 - Accounting and Financial Management - free PDF Download

      Find University of Mumbai 2nd Year (SYBcom) Accounts 2 - Accounting and Financial Management previous year question papers PDF. University of Mumbai 2nd Year (SYBcom) Accounts 2 - Accounting and Financial Management question paper are provided here in PDF format which students may download to boost their preparations for the Board Exam. Previous year question papers are designed by the experts based on the latest revised University of Mumbai 2nd Year (SYBcom) syllabus. Practicing question paper gives you the confidence to face the board exam with minimum fear and stress since you get proper idea about question paper pattern and marks weightage. University of Mumbai previous year question paper 2nd Year (SYBcom) pdf can be dowloaded but Shaalaa allows you to see it online so downloading is not necessary. When exams date come closer the anxiety will increase and students are confused where to start. Practicing Previous Year Question Papers is the best way to prepare for your board exams and achieve good score.
     Question Paper for University of Mumbai 2nd Year (SYBcom) Accounts 2 - Accounting and Financial Management are very useful for students so that they can better understand the concepts by practicing them regularly. Students should practice the questions provided in the Previous Year Question Paper to get better marks in the examination. Question papers for University of Mumbai 2nd Year (SYBcom) Accounts 2 - Accounting and Financial Management question paper gives an idea about the questions coming in the board exams and previous years papers give the sample questions asked by CBSE in the exams. By solving the Question Papers, you can scale your preparation level and work on your weak areas. It will also help the candidates in developing the time-management skills.

How University of Mumbai 2nd Year (SYBcom) Previous Year Question Papers Help Students ?

• Students get an idea of question paper pattern and marking scheme of the exam so they can manage their exam time to attempt all questions to score more.
• University of Mumbai 2nd Year (SYBcom) previous year papers will help students by how one question is ask in different way, importance of question by how many time this question asked in previous year exam.
• Question papers will helps students to prepare for exam.
To get all Question paper
• Solving previous year question paper will boost students confidence in exam time and also give you an idea About the important questions and topics to be prepared for the board exam.
Share
Notifications

Englishहिंदीमराठी


      Forgot password?
Use app×