Advertisements
Advertisements
प्रश्न
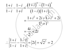
Find the modulus of `(1+i)/(1-i) - (1-i)/(1+i)`
Advertisements
उत्तर

APPEARS IN
संबंधित प्रश्न
Find the modulus and argument of the complex number `(1 + 2i)/(1-3i)`
Find the real numbers x and y if (x – iy) (3 + 5i) is the conjugate of –6 – 24i.
If (x + iy)3 = u + iv, then show that `u/x + v/y =4(x^2 - y^2)`
Find the conjugate of the following complex number:
4 − 5 i
Find the conjugate of the following complex number:
\[\frac{1}{1 + i}\]
Find the conjugate of the following complex number:
\[\frac{(3 - i )^2}{2 + i}\]
Find the conjugate of the following complex number:
\[\frac{(3 - 2i)(2 + 3i)}{(1 + 2i)(2 - i)}\]
Find the modulus of \[\frac{1 + i}{1 - i} - \frac{1 - i}{1 + i}\].
Find the modulus and argument of the following complex number and hence express in the polar form:
1 − i
Find the modulus and argument of the following complex number and hence express in the polar form:
\[\frac{1 - i}{1 + i}\]
Find the modulus and argument of the following complex number and hence express in the polar form:
\[\frac{1}{1 + i}\]
Find the modulus and argument of the following complex number and hence express in the polar form:
\[\frac{1 + 2i}{1 - 3i}\]
Find the modulus and argument of the following complex number and hence express in the polar form:
sin 120° - i cos 120°
Find the modulus and argument of the following complex number and hence express in the polar form:
\[\frac{- 16}{1 + i\sqrt{3}}\]
If z1, z2 and z3, z4 are two pairs of conjugate complex numbers, prove that \[\arg\left( \frac{z_1}{z_4} \right) + \arg\left( \frac{z_2}{z_3} \right) = 0\].
If (1+i)(1 + 2i)(1+3i)..... (1+ ni) = a+ib,then 2 ×5 ×10 ×...... ×(1+n2) is equal to.
If (1 + i) (1 + 2i) (1 + 3i) .... (1 + ni) = a + ib, then 2.5.10.17.......(1+n2)=
If \[\frac{( a^2 + 1 )^2}{2a - i} = x + iy, \text { then } x^2 + y^2\] is equal to
If \[x + iy = (1 + i)(1 + 2i)(1 + 3i)\],then x2 + y2 =
Solve the equation `z^2 = barz`, where z = x + iy.
If a complex number z lies in the interior or on the boundary of a circle of radius 3 units and centre (–4, 0), find the greatest and least values of |z + 1|.
The conjugate of the complex number `(1 - i)/(1 + i)` is ______.
If z1 = `sqrt(3) + i sqrt(3)` and z2 = `sqrt(3) + i`, then find the quadrant in which `(z_1/z_2)` lies.
What is the conjugate of `(sqrt(5 + 12i) + sqrt(5 - 12i))/(sqrt(5 + 12i) - sqrt(5 - 12i))`?
If z1, z2 and z3, z4 are two pairs of conjugate complex numbers, then find arg`(z_1/z_4)` + arg`(z_2/z_3)`.
Solve the system of equations Re(z2) = 0, z = 2.
What is the conjugate of `(2 - i)/(1 - 2i)^2`?
If `(a^2 + 1)^2/(2a - i)` = x + iy, what is the value of x2 + y2?
sinx + icos2x and cosx – isin2x are conjugate to each other for ______.
