मराठी
0
सी. बी. एस. ई.
वाणिज्य (इंग्रजी माध्यम) इयत्ता ११
प्रश्नपत्रिका
प्रश्नपत्रिका
पाठ्यपुस्तक उत्तरे
१२७३४
MCQ ऑनलाइन सराव परीक्षा
महत्वाचे प्रश्न आणि उत्तरे
संकल्पना स्पष्टीकरण आणि व्हिडिओ
३३८
टाइम टेबल
अभ्यासक्रम
Find the Sum to N Terms of the Series Whose Nth Terms is Given by (2n – 1)2 - Mathematics
Advertisements
Advertisements
प्रश्न
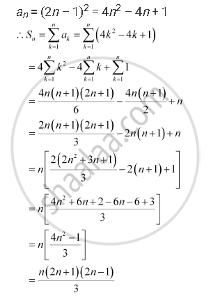
Find the sum to
n
terms of the series whose
n
th
terms is given by (2
n
– 1)
2
Advertisements
उत्तर
Show Solution
shaalaa.com
त्रुटी नोंदवा
या प्रश्नात किंवा उत्तरात काही त्रुटी आहे का?
Q 10
Q 9
Q 1
पाठ 9: Sequences and Series - Exercise 9.4 [पृष्ठ १९६]
APPEARS IN
एनसीईआरटी Mathematics [English] Class 11
पाठ 9 Sequences and Series
Exercise 9.4 | Q 10 | पृष्ठ १९६
Share
0
0
0
0
0
Notifications
Select a course
CANCEL
English
हिंदी
मराठी
user
Login
Create free account
email:
password:
Log in
Forgot password?
Course
वाणिज्य (इंग्रजी माध्यम) इयत्ता ११ सी. बी. एस. ई.
पीयूसी विज्ञान इयत्ता ११ कर्नाटक बोर्ड पी.यू.सी.
कला (इंग्रजी माध्यम) इयत्ता ११ सी. बी. एस. ई.
विज्ञान (इंग्रजी माध्यम) इयत्ता ११ सी. बी. एस. ई.
change
घर
इयत्ता १ - ४
इयत्ता ५ - ८
इयत्ता ९ - १०
इयत्ता ११ - १२
प्रवेश परीक्षा
मजकूर किंवा प्रतिमेनुसार शोधा
पाठ्यपुस्तक उत्तरे
अभ्यास साहित्य
सर्व जाहिराती काढून टाका
Change mode
Log out
Use app
×