Advertisements
Advertisements
प्रश्न
Find the G.C.D. of the given polynomials
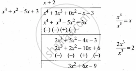
x4 + 3x3 – x – 3, x3 + x2 – 5x + 3
Advertisements
उत्तर
p(x) = x4 + 3x3 – x – 3
g(x) = x3 + x2 – 5x + 3

3x2 + 6x – 9 = 3(x2 + 2x – 3)
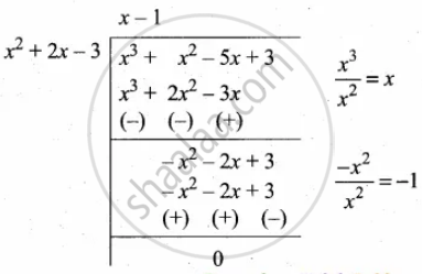
Now dividing g(x) = x3 + x2 – 5x + 3
by the new remainder ...(leaving the constant 3)
we get x2 + 2x – 3
G.C.F. = x2 + 2x – 3
APPEARS IN
संबंधित प्रश्न
Find the G.C.D. of the given polynomials
x4 – 1, x3 – 11x2 + x – 11
Find the G.C.D. of the given polynomials
3x4 + 6x3 – 12x2 – 24x, 4x4 + 14x3 + 8x2 – 8x
Find the L.C.M. of the given expressions
– 9a3b2, 12a2b2c
Find the L.C.M. of the given expressions
2x2 – 5x – 3, 4x2 – 36
Find the L.C.M. of the given expressions
(2x2 – 3xy)2, (4x – 6y)3, (8x3 – 27y3)
Find the LCM and GCD for the following and verify that f(x) × g(x) = LCM × GCD
21x2y, 35xy2
Find the LCM and GCD for the following and verify that f(x) × g(x) = LCM × GCD
(x3 – 1) (x + 1), (x3 + 1)
Find the LCM and GCD for the following and verify that f(x) × g(x) = LCM × GCD
(x2y + xy2), (x2 + xy)
Find the LCM pair of the following polynomials
a2 + 4a – 12, a2 – 5a + 6 whose GCD is a – 2
Given the LCM and GCD of the two polynomials p(x) and q(x) find the unknown polynomial in the following table
| LCM | GCD | p(x) | q(x) |
| (x4 – y4)(x4 + x2y2 + y2) | (x2 – y2) | (x4 – y4)(x2 + y2 – xy) |
